|
什么是几何修正系数,写出其计算式并说明其实用意义
![]()
对金属丝透度计按左图中表示的情况进行透照,到达胶片上P点的射线将通过金属丝截面的abcd部分,近似认为射线通过的是a1b1c1d1部分,并认为在焦点尺寸f范围内射线强度无变化。
设金属丝直径为d,金属丝截面圆为O,在距圆心x的一点上,射线穿过金属丝b2d2两点,设其穿透厚度为d",则有d"=(d2-4x2)1/2
连接胶片上P点与焦点两端,设两直线与以O为原点的直线的横轴分别交于x1和x2,则x1和x2之间的距离d'可用下式表示:d'=f•l/L,式中:l--金属丝中心至胶片距离;L--焦点至胶片距离。
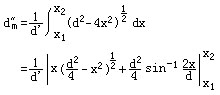
底片上P点所产生的黑度差△D是由于焦点上各点发出的射线穿过a1b1c1d1金属丝截面,强度减小而产生的,而焦点上各点发出的射线穿过金属丝的厚度不一样,无损检测资源网所以穿透厚度d"是一个变量,设dm为d"的平均值,则有:
![]()
当d'<d时,积分上下限为X1= -d'/2,X2= d'/2代入,得:d"m={[1-(d'/d)2]1/2 +(d'/d)-1sin-1(d'/d)}•(d/2)
当d'≥d时,积分上下限为X1= -d/2,X2= d/2代入,得:
d"m=(πd/4)(d'/d)-1,修正系数σ= d"m/d,所以有:
d'<d:σ=(1/2){[1-(d'/d)2]1/2 +(d'/d)-1sin-1(d'/d)} d'≥d:σ=(π/4)(d'/d)-1
σ值随d'/d变化情况见图b,由图可见:当d'/d接近1时,σ值会急剧下降,也意味着小缺陷的对比度会随之减小,在实际透照中,为保证小缺陷的对比度,应考虑采用d'/d≤0.5,σ≈1的几何布置,此时焦距L的计算公式推导如下:
已知:d'/d≤0.5,则d'≤0.5d,又d'=f•l/L,∴f•l/L≤0.5d,则L≥2fl/d,式中:L-焦距;f-焦点尺寸;l-透度计至胶片距离;d-要求能够识别的金属丝直径
|

手机版
























